Официальное опубликование правовых актов
ОФИЦИАЛЬНОЕ ОПУБЛИКОВАНИЕ
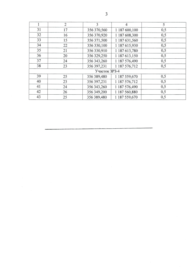
Постановление Правительства Калининградской области от 04.02.2019 № 61
"Об утверждении границ зон охраны объекта культурного наследия местного (муниципального) значения "Дом жилой", особых режимов использования земель и требований к градостроительным регламентам в границах данных зон"
Номер опубликования: 3900201902120003
Дата опубликования: 12.02.2019
Страница №5 из 8:
Увеличить