Официальное опубликование правовых актов
ОФИЦИАЛЬНОЕ ОПУБЛИКОВАНИЕ
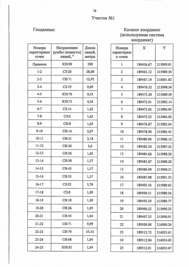
Постановление Департамента лесного хозяйства администрации Владимирской области от 15.05.2020 № 8
"Об утверждении документации по проектированию изменения границ лесов, расположенных в лесопарковых зонах"
Номер опубликования: 3301202005220002
Дата опубликования: 22.05.2020
Страница №79 из 83:
Увеличить