Официальное опубликование правовых актов
ОФИЦИАЛЬНОЕ ОПУБЛИКОВАНИЕ
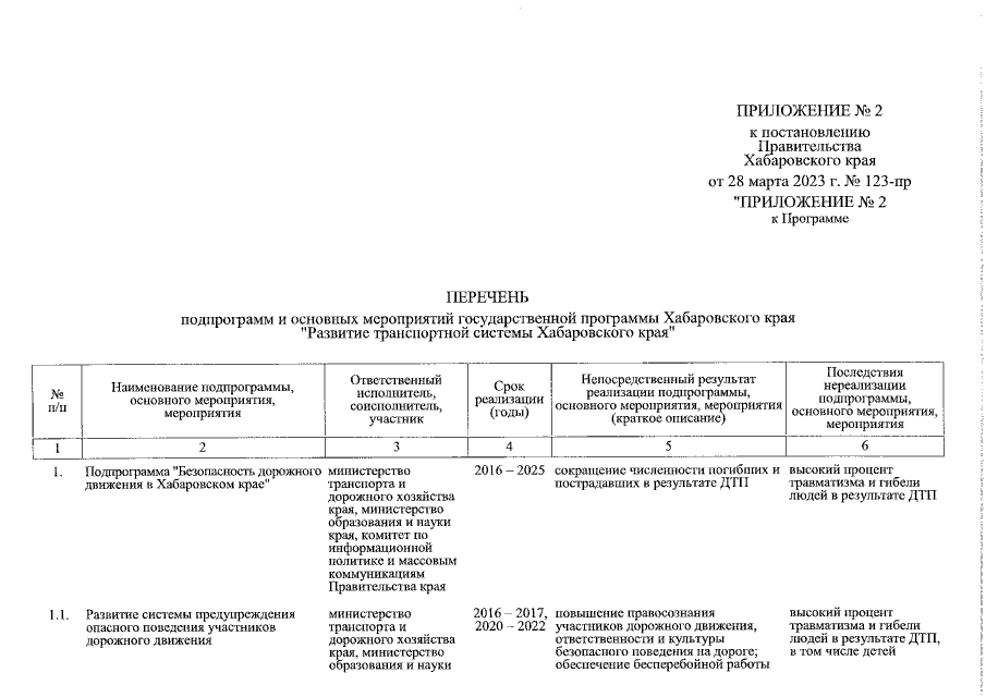
Постановление Правительства Хабаровского края от 28.03.2023 № 123-пр
"О внесении изменений в государственную программу Хабаровского края "Развитие транспортной системы Хабаровского края", утвержденную постановлением Правительства Хабаровского края от 5 мая 2012 г. № 146-пр"
Номер опубликования: 2700202303300008
Дата опубликования: 30.03.2023
Страница №27 из 122:
Увеличить