Официальное опубликование правовых актов
ОФИЦИАЛЬНОЕ ОПУБЛИКОВАНИЕ
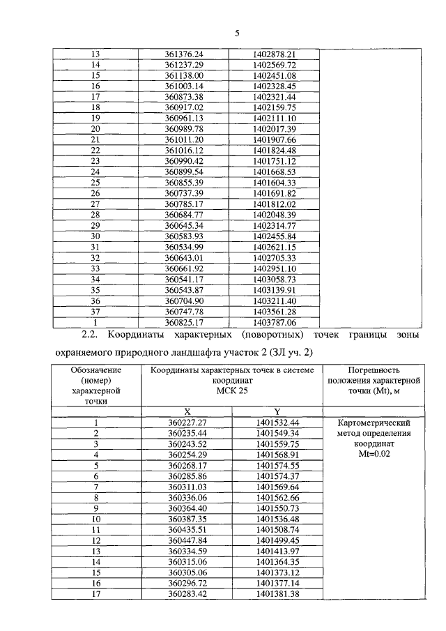
Постановление Правительства Приморского края от 05.07.2022 № 459-пп
"Об установлении объединенной зоны охраны объектов культурного наследия федерального значения, расположенных в районе улиц Адмирала Юмашева, Нейбута в г. Владивостоке, "Форт им. Суворова", "Батарея К", "Батарея Л", "Батарея М", "Укрепление № 2", "Пороховой погреб П 3", "Саперный редут № 4 Владивостокской крепости", утверждении требований к градостроительным регламентам в границах территории данной зоны"
Номер опубликования: 2501202207070004
Дата опубликования: 07.07.2022
Страница №7 из 31:
Увеличить