Приказ Инспекции по охране объектов культурного наследия Приморского края от 04.06.2019 № 150
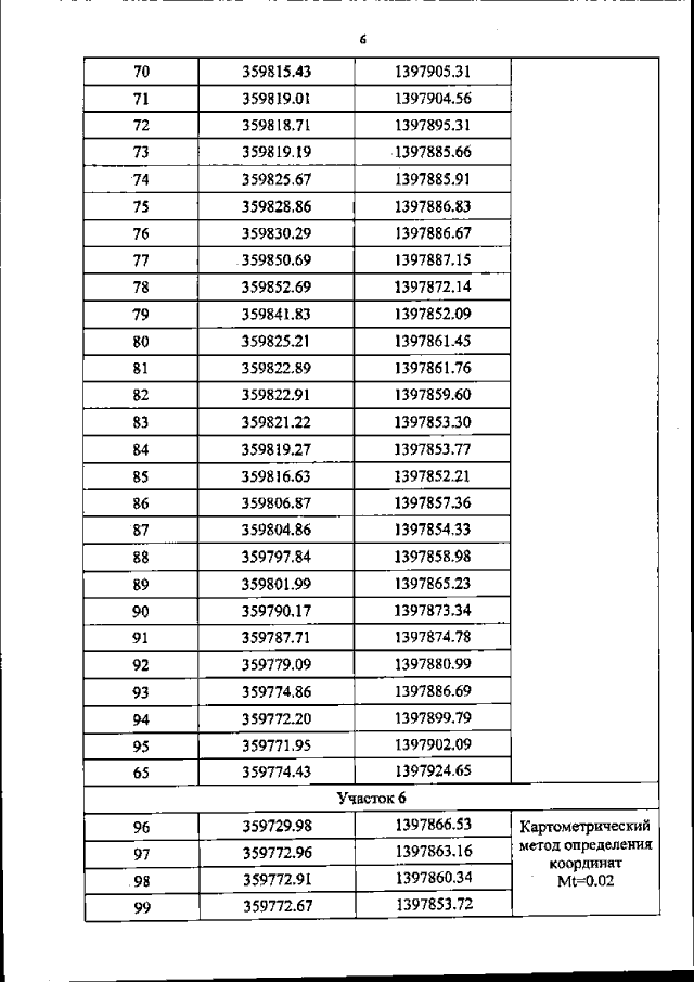
"Об утверждении границ территории объекта культурного наследия регионального значения "Ансамбль застройки офицерской слободы (20 строений)", конец XIX - начало XX вв., расположенного по адресу (местонахождение): Приморский край, г. Владивосток, в границах ул. Светланская, ул. Абрекская, ул. Карла Либкнехта, ул. Всеволода Сибирцева"
"Об утверждении границ территории объекта культурного наследия регионального значения "Ансамбль застройки офицерской слободы (20 строений)", конец XIX - начало XX вв., расположенного по адресу (местонахождение): Приморский край, г. Владивосток, в границах ул. Светланская, ул. Абрекская, ул. Карла Либкнехта, ул. Всеволода Сибирцева"
Номер опубликования: 2501201906070005
Дата опубликования:
07.06.2019
