Официальное опубликование правовых актов
ОФИЦИАЛЬНОЕ ОПУБЛИКОВАНИЕ
Приказ администрации Краснодарского края от 14.08.2018 № 234-КН
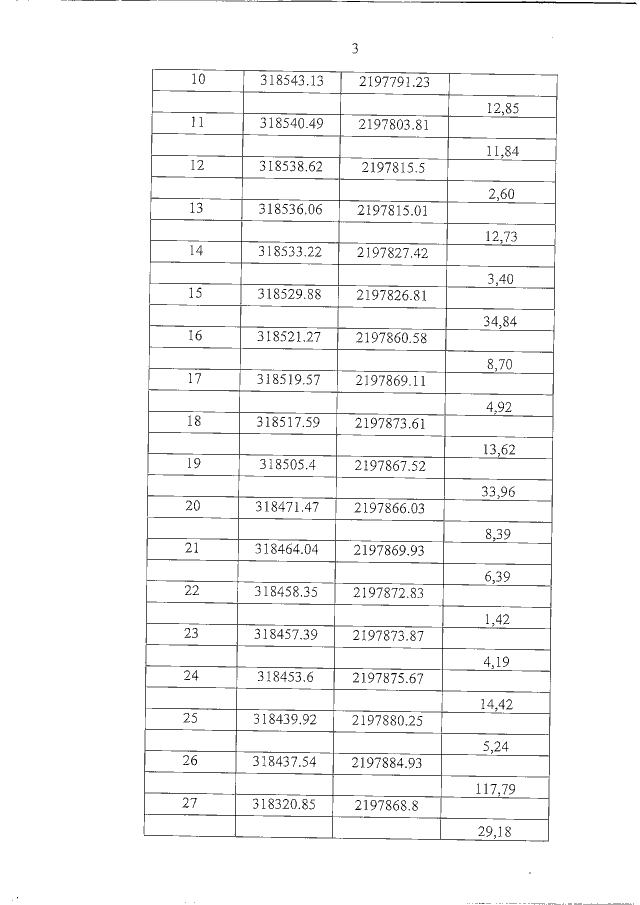
"Об утверждении границ территории объектов культурного наследия регионального значения "Парк "Ривьера", 1898 г., Краснодарский край, г. Сочи, Центральный район, ул. Егорова, 1; "Поляна дружбы народов, первое дерево на которой посажено председателем Государственного совета ГДР О. Гротеволем", 1960 г., Краснодарский край, г. Сочи, Центральный район, ул. Егорова, 1, парк "Ривьера", у входа; "Здание дачи Хлудова", 1896 г., 1941 – 1944 гг., Краснодарский край, город–курорт Сочи, Центральный район, ул. Егорова, 1, парк "Ривьера"; "Аллея писателей (21 бюст русских и советских писателей)", 1960–е годы Краснодарский край, г. Сочи, Центральный район, ул. Егорова, 1, парк "Ривьера"
Номер опубликования: 2301201808200004
Дата опубликования: 20.08.2018
Страница №8 из 29:
Увеличить