Официальное опубликование правовых актов
ОФИЦИАЛЬНОЕ ОПУБЛИКОВАНИЕ
Постановление Правительства Республики Алтай от 14.08.2019 № 217
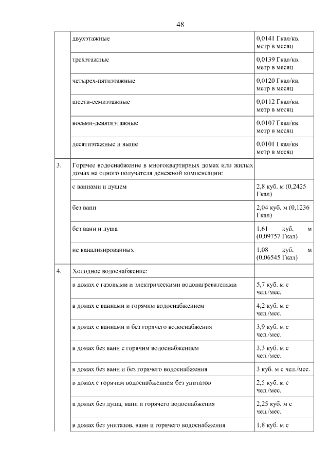
"Об утверждении положения о порядке назначения и выплаты ежемесячной денежной выплаты жертвам политических репрессий, положений о предоставлении жертвам политических репрессий мер социальной поддержки по оплате жилого помещения и коммунальных услуг, по оплате газа либо твердого топлива и транспортных услуг для доставки твердого топлива, по изготовлению и ремонту зубных протезов, льготному обеспечению другими протезно-ортопедическими изделиями, по бесплатной установке телефона, по оплате проезда, социальных норм площади жилья (жилого помещения), нормативов потребления коммунальных услуг для предоставления мер социальной поддержки жертвам политических репрессий"
Номер опубликования: 0400201908160002
Дата опубликования: 16.08.2019
Страница №48 из 50:
Увеличить