Официальное опубликование правовых актов
ОФИЦИАЛЬНОЕ ОПУБЛИКОВАНИЕ
Приказ Федеральной службы по надзору в сфере образования и науки от 17.09.2025 № 1638
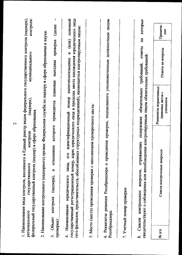
"О внесении изменений в приказ Федеральной службы по надзору в сфере образования и науки от 2 мая 2024 г. № 955 "Об утверждении форм проверочных листов, используемых при осуществлении федерального государственного контроля (надзора) в сфере образования"
(Зарегистрирован 09.12.2025 № 84526)
Номер опубликования: 0001202512100021
Дата опубликования: 10.12.2025
Страница №6 из 108:
Увеличить