Официальное опубликование правовых актов
ОФИЦИАЛЬНОЕ ОПУБЛИКОВАНИЕ
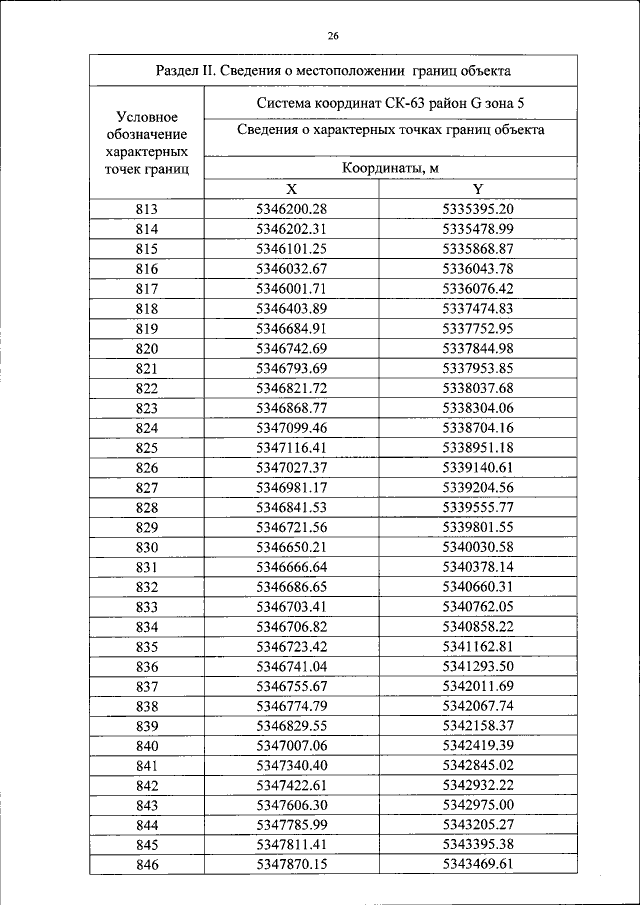
Приказ Министерства природных ресурсов и экологии Российской Федерации от 11.04.2022 № 263
"Об установлении границ охранной зоны кластерного участка "Забеловский" государственного природного заповедника "Бастак", а также об утверждении Положения о данной охранной зоне"
(Зарегистрирован 12.09.2022 № 70048)
Номер опубликования: 0001202209130005
Дата опубликования: 13.09.2022
Страница №27 из 52:
Увеличить