Официальное опубликование правовых актов
ОФИЦИАЛЬНОЕ ОПУБЛИКОВАНИЕ
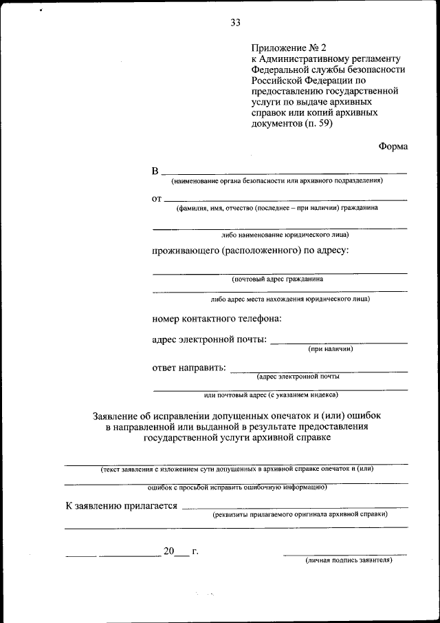
Приказ Федеральной службы безопасности Российской Федерации от 05.11.2020 № 496
"Об утверждении Административного регламента Федеральной службы безопасности Российской Федерации по предоставлению государственной услуги по выдаче архивных справок или копий архивных документов"
(Зарегистрирован 09.12.2020 № 61347)
Номер опубликования: 0001202012090026
Дата опубликования: 09.12.2020
Страница №33 из 33:
Увеличить