Официальное опубликование правовых актов
ОФИЦИАЛЬНОЕ ОПУБЛИКОВАНИЕ
Приказ Федеральной службы судебных приставов от 15.09.2020 № 665
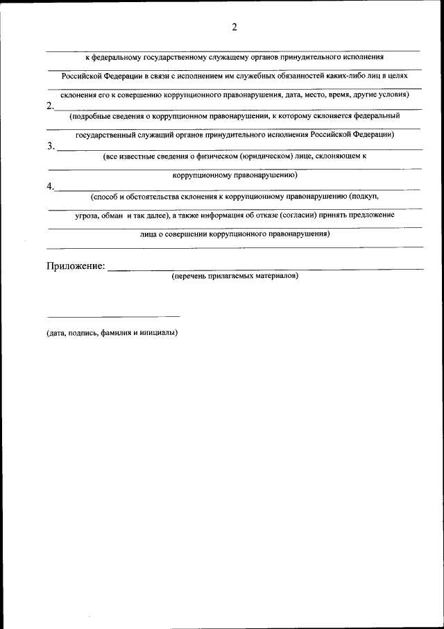
"Об утверждении Порядка уведомления федеральными государственными служащими органов принудительного исполнения Российской Федерации о фактах обращения к ним в целях склонения к совершению коррупционных правонарушений, регистрации уведомлений и организации проверки сведений, содержащихся в уведомлении"
(Зарегистрирован 14.10.2020 № 60357)
Номер опубликования: 0001202010140051
Дата опубликования: 14.10.2020
Страница №7 из 8:
Увеличить