Официальное опубликование правовых актов
ОФИЦИАЛЬНОЕ ОПУБЛИКОВАНИЕ
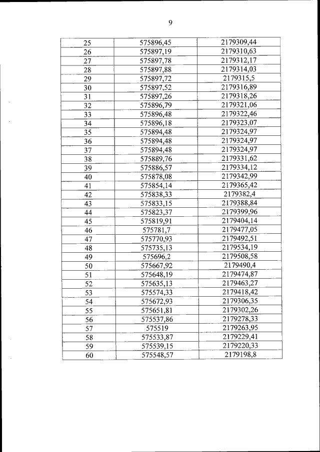
Приказ Министерства культуры Российской Федерации от 08.06.2016 № 1273
"Об утверждении границ зон охраны объекта культурного наследия федерального значения "Церкви Воскресения и Ивана Милостивого на Мячине‚ XII - XVI вв."‚ включенного в Список всемирного наследия, а также режимов использования земель и требований к градостроительным регламентам в границах данных зон"
(Зарегистрирован 28.06.2016 № 42662)
Номер опубликования: 0001201606300032
Дата опубликования: 30.06.2016
Страница №11 из 44:
Увеличить