Официальное опубликование правовых актов
ОФИЦИАЛЬНОЕ ОПУБЛИКОВАНИЕ
Приказ Министерства культуры Российской Федерации от 11.01.2016 № 2
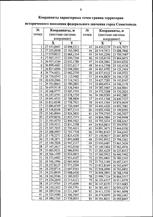
"О включении города Севастополя в перечень исторических поселений федерального значения, утверждении границ территории и предмета охраны исторического поселения город Севастополь"
(Зарегистрирован 01.03.2016 № 41268)
Номер опубликования: 0001201603040013
Дата опубликования: 04.03.2016
Страница №8 из 134:
Увеличить