Официальное опубликование правовых актов
ОФИЦИАЛЬНОЕ ОПУБЛИКОВАНИЕ
Приказ Министерства культуры Российской Федерации от 01.06.2015 № 1693
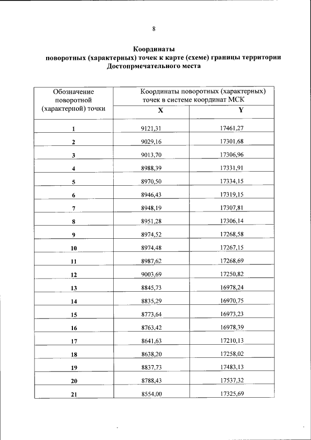
"О включении выявленного объекта культурного наследия - достопримечательное место "ВСХВ-ВДНХ-ВВЦ" (г. Москва, Проспект Мира, домовладение 119) в единый государственный реестр объектов культурного наследия (памятников истории и культуры) народов Российской Федерации в качестве объекта культурного наследия федерального значения, а также об утверждении границ, требований к осуществлению деятельности и градостроительным регламентам в границах его территории"
(Зарегистрирован 23.06.2015 № 37764)
Номер опубликования: 0001201506260010
Дата опубликования: 26.06.2015
Страница №8 из 251:
Увеличить