Официальное опубликование правовых актов
ОФИЦИАЛЬНОЕ ОПУБЛИКОВАНИЕ
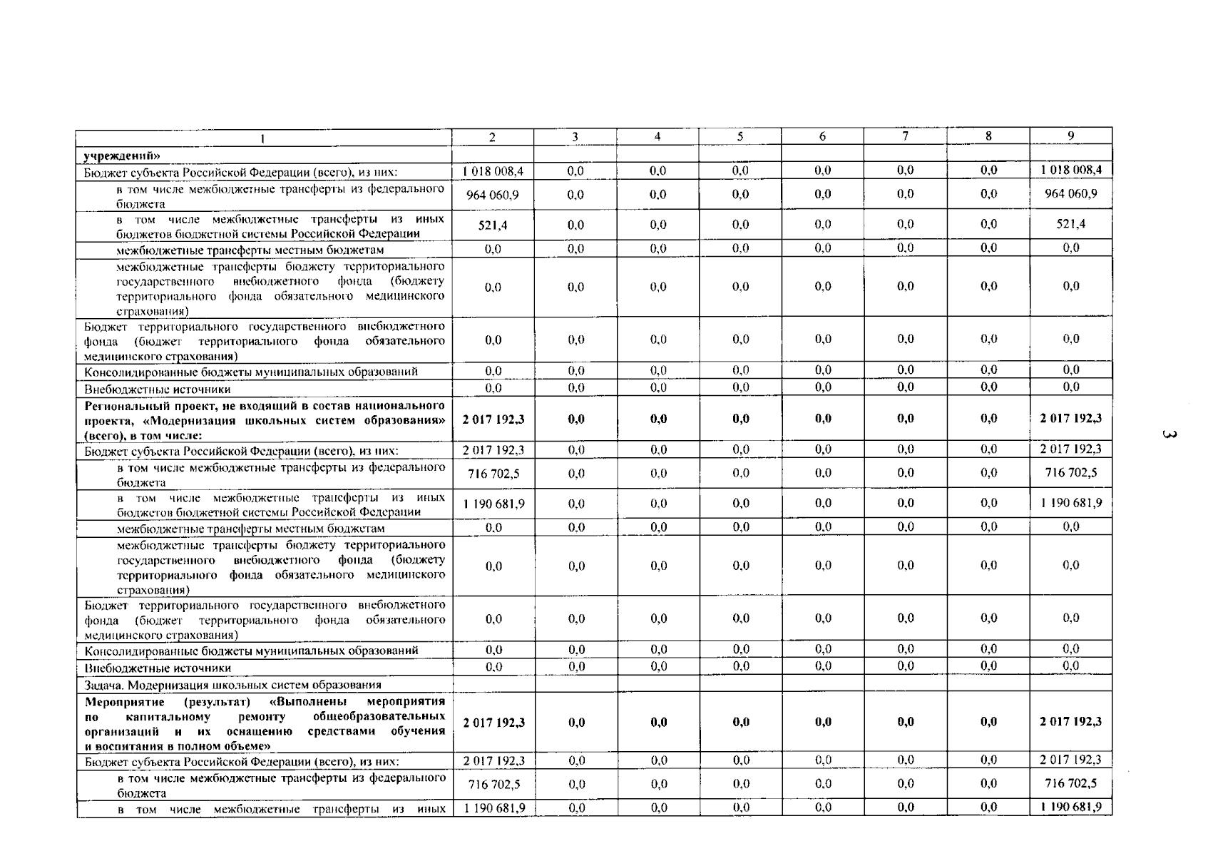
Постановление Правительства Севастополя от 29.12.2025 № 678-ПП
"О внесении изменений в постановление Правительства Севастополя от 11.02.2022 № 35-ПП "Об утверждении государственной программы города Севастополя "Развитие образования в городе Севастополе"
Номер опубликования: 9200202601040017
Дата опубликования: 04.01.2026
Страница №5 из 48:
Увеличить