Официальное опубликование правовых актов
ОФИЦИАЛЬНОЕ ОПУБЛИКОВАНИЕ
Постановление Правительства Севастополя от 04.04.2025 № 151-ПП
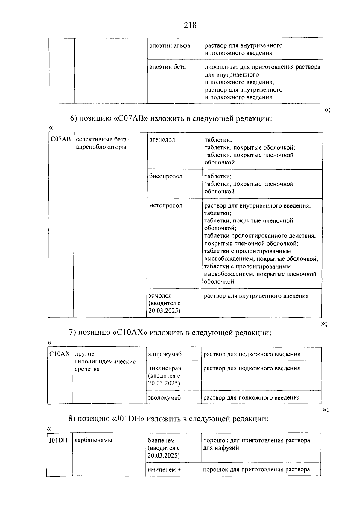
"О внесении изменений в постановление Правительства Севастополя от 26.12.2024 № 641-ПП "Об утверждении Территориальной программы государственных гарантий бесплатного оказания гражданам медицинской помощи в городе Севастополе на 2025 год и на плановый период 2026 и 2027 годов"
Номер опубликования: 9200202504100007
Дата опубликования: 10.04.2025
Страница №219 из 263:
Увеличить