Официальное опубликование правовых актов
ОФИЦИАЛЬНОЕ ОПУБЛИКОВАНИЕ
Постановление Правительства Севастополя от 15.08.2024 № 392-ПП
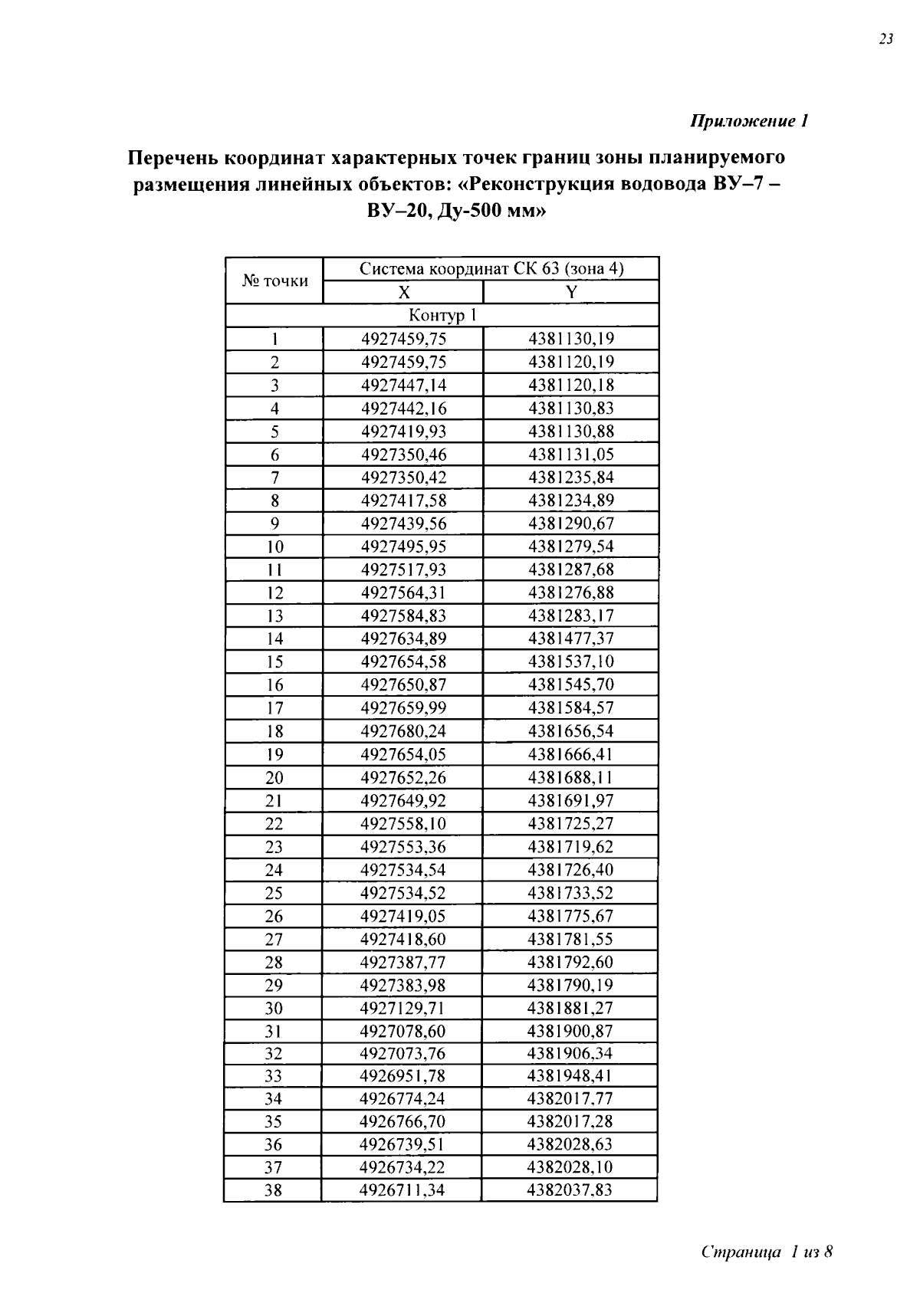
"О внесении изменений в постановление Правительства Севастополя от 06.12.2018 № 811-ПП "Об утверждении градостроительной документации по проекту планировки и проекту межевания территории линейного объекта "Реконструкция водовода ВУ-7-ВУ-20, ДУ-500 мм"
Номер опубликования: 9200202408230001
Дата опубликования: 23.08.2024
Страница №43 из 128:
Увеличить