Официальное опубликование правовых актов
ОФИЦИАЛЬНОЕ ОПУБЛИКОВАНИЕ
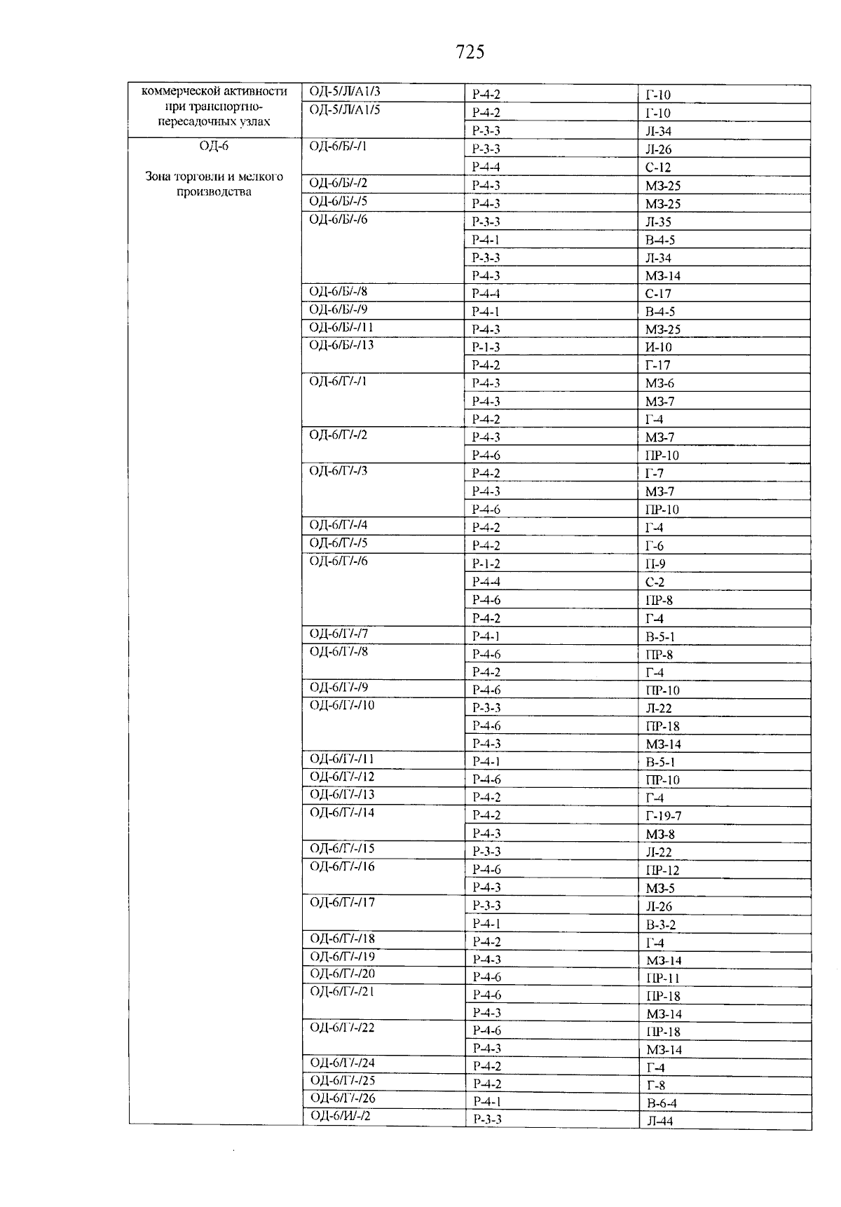
Постановление Правительства Севастополя от 28.06.2024 № 314-ПП
"О внесении изменений в постановление Правительства Севастополя от 29.12.2022 № 730-ПП "Об утверждении Правил землепользования и застройки города федерального значения Севастополя применительно к части территории города в границах внутригородских муниципальных образований: Ленинского, Гагаринского, Нахимовского, Балаклавского муниципальных округов и города Инкермана"
Номер опубликования: 9200202407050004
Дата опубликования: 05.07.2024
Страница №726 из 767:
Увеличить