Официальное опубликование правовых актов
ОФИЦИАЛЬНОЕ ОПУБЛИКОВАНИЕ
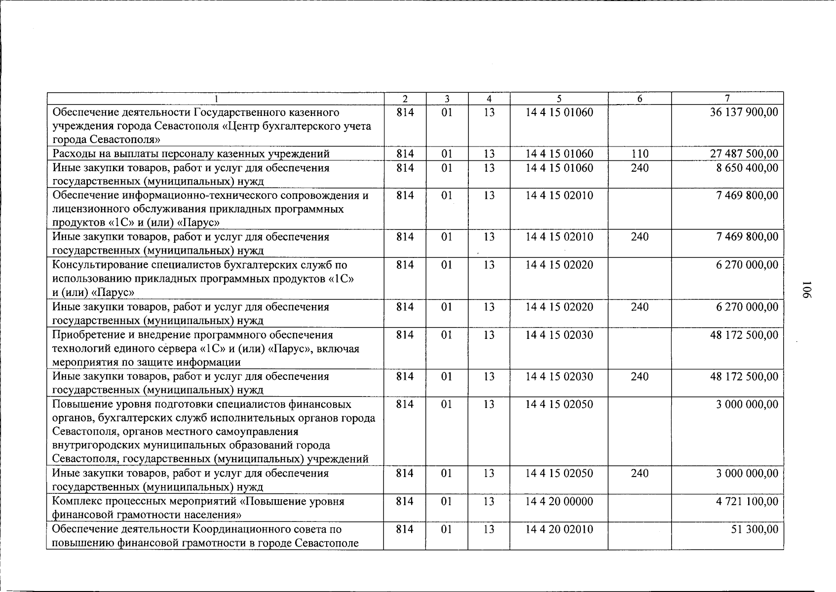
Закон города Севастополя от 31.05.2024 № 810-ЗС
"О внесении изменений в Закон города Севастополя от 12 декабря 2023 года № 790-ЗС "О бюджете города Севастополя на 2024 год и плановый период 2025 и 2026 годов"
Номер опубликования: 9200202405310002
Дата опубликования: 31.05.2024
Страница №106 из 761:
Увеличить