Официальное опубликование правовых актов
ОФИЦИАЛЬНОЕ ОПУБЛИКОВАНИЕ
Постановление Правительства Севастополя от 14.12.2023 № 609-ПП
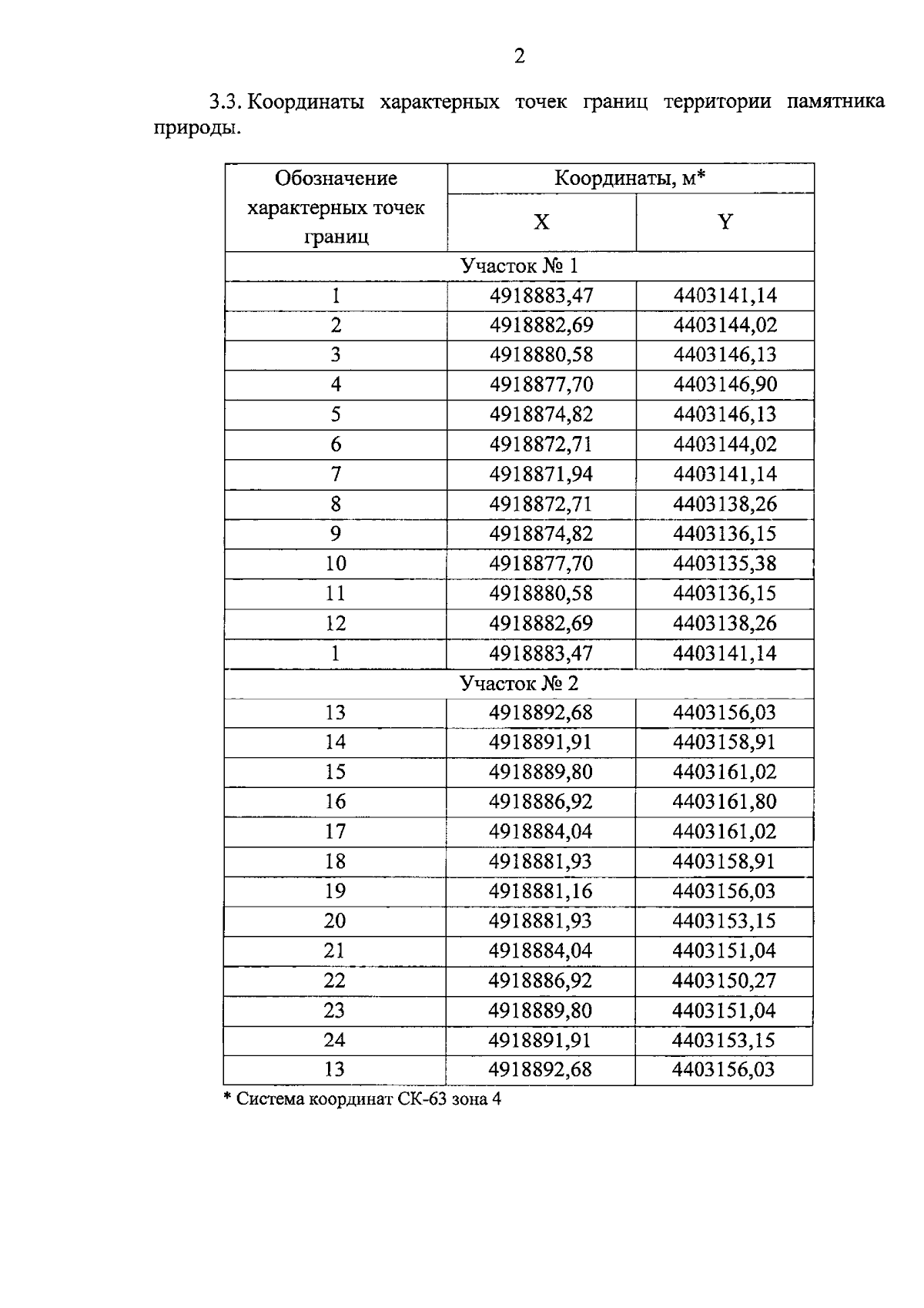
"Об объявлении дубов черешчатых памятником природы регионального значения "Озерные дубы"
Номер опубликования: 9200202312220026
Дата опубликования: 22.12.2023
Страница №5 из 9:
Увеличить