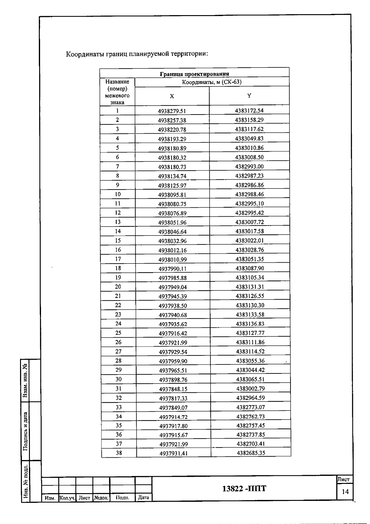
Официальное опубликование правовых актов
ОФИЦИАЛЬНОЕ ОПУБЛИКОВАНИЕ
Постановление Правительства Севастополя от 13.11.2023 № 524-ПП
"О внесении изменений в постановление Правительства Севастополя от 29.12.2022 № 750-ПП "Об утверждении документации по планировке территории "Проект планировки и проект межевания территории в районе ул. Челюскинцев и Качинского шоссе"
Номер опубликования: 9200202311170010
Дата опубликования: 17.11.2023
Страница №23 из 56:
Увеличить