Официальное опубликование правовых актов
ОФИЦИАЛЬНОЕ ОПУБЛИКОВАНИЕ
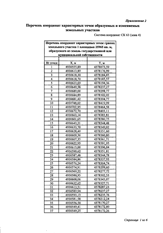
Постановление Правительства Севастополя от 03.08.2023 № 370-ПП
"Об утверждении документации по планировке территории "Проект планировки и проект межевания территории, расположенной в районе ул. Вакуленчука, 29 в г. Севастополе"
Номер опубликования: 9200202308100007
Дата опубликования: 10.08.2023
Страница №38 из 45:
Увеличить