Официальное опубликование правовых актов
ОФИЦИАЛЬНОЕ ОПУБЛИКОВАНИЕ
Постановление Правительства Севастополя от 08.06.2023 № 277-ПП
"Об утверждении границ территории объединенной зоны охраны, режимов использования земель и требований к градостроительным регламентам в границах территории объединенной зоны охраны объектов культурного наследия регионального значения: "Памятник адмиралу М.П. Лазареву" (г. Севастополь, пл. Лазарева, 1), "Жилой дом" (г. Севастополь, ул. Большая Морская, 2), "Жилой дом" (г. Севастополь, ул. Большая Морская, д. 3), "Жилой дом" (г. Севастополь, ул. Большая Морская, д. 4), "Жилой дом" (г. Севастополь, ул. Большая Морская, д. 6), "Гостиница "Севастополь" (г. Севастополь, пр-т Нахимова, 8), "Жилой дом" (г. Севастополь, пр-т Нахимова, 10), "Жилой дом" (г. Севастополь, пр-т Нахимова, 12), "Жилой дом" (г. Севастополь, пр-т Нахимова, 14), "Административное здание" (г. Севастополь, пр-т Нахимова, 15), "Жилой дом" (г. Севастополь, пр-т Нахимова, 16 (ул. Генерала Петрова, 2)), "Жилой дом" (г. Севастополь, пр-т Нахимова, 17), "Административное здание" (г. Севастополь, пр-т Нахимова, д. 21), "Административное здание" (г. Севастополь, ул. Суворова, 4), "Жилой дом" (г. Севастополь, ул. Одесская, 11), "Общественное здание" (г. Севастополь, ул. Одесская, 13), "Общественное здание" (г. Севастополь, ул. Одесская, 15), "Жилой дом" (г. Севастополь, ул. Генерала Петрова, 1), "Жилой дом" (г. Севастополь, ул. Сенявина, д. 3), "Жилой дом" (г. Севастополь, ул. Маяковского, 3), "Административное здание" (г. Севастополь, ул. Маяковского, 5), "Дом Анненкова" (г. Севастополь, ул. Маяковского, 8), "Жилой дом" (г. Севастополь, набережная Корнилова, 7), "Административное здание" (г. Севастополь, ул. Айвазовского, д. 3), "Жилой дом" (г. Севастополь, спуск Шестакова, 1)"
Номер опубликования: 9200202306160026
Дата опубликования: 16.06.2023
Страница №80 из 150:
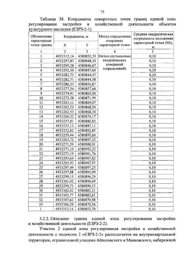
Увеличить