Официальное опубликование правовых актов
ОФИЦИАЛЬНОЕ ОПУБЛИКОВАНИЕ
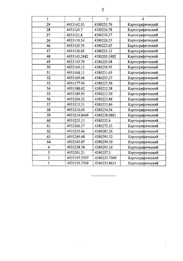
Постановление Правительства Севастополя от 08.06.2023 № 265-ПП
"Об утверждении границ зон охраны, режимов использования земель и требований к градостроительным регламентам в границах территории зон охраны объекта культурного наследия регионального значения "Казематы, в которых находились командные пункты береговой обороны Черноморского флота и Приморской армии", расположенного по адресу: г. Севастополь, ул. Адмирала Владимирского"
Номер опубликования: 9200202306160013
Дата опубликования: 16.06.2023
Страница №7 из 15:
Увеличить