Официальное опубликование правовых актов
ОФИЦИАЛЬНОЕ ОПУБЛИКОВАНИЕ
Постановление Правительства Севастополя от 26.12.2022 № 698-ПП
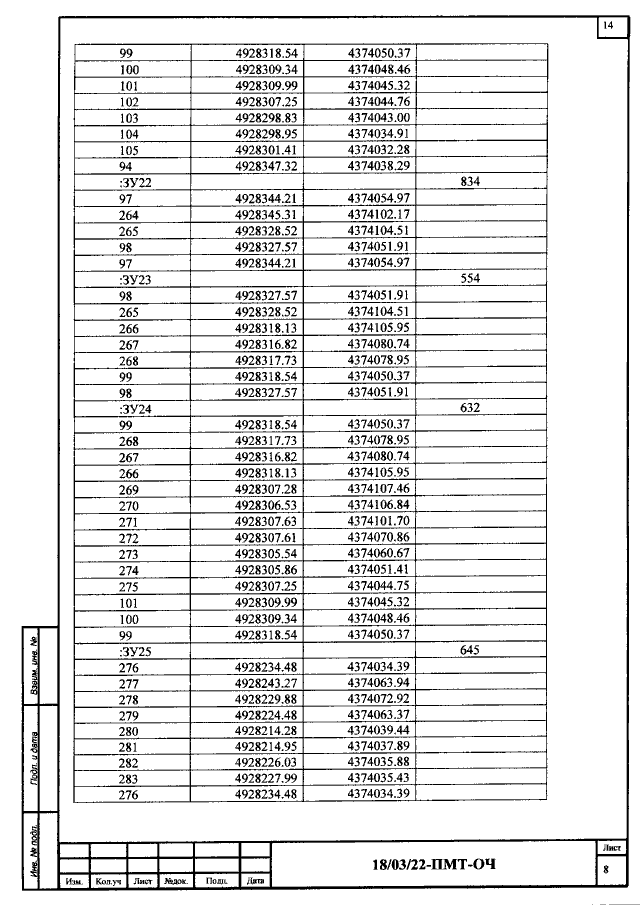
"Об утверждении документации по планировке территории "Проект межевания территории ТСН "Рыбак-6"
Номер опубликования: 9200202212290038
Дата опубликования: 29.12.2022
Страница №17 из 41:
Увеличить