Официальное опубликование правовых актов
ОФИЦИАЛЬНОЕ ОПУБЛИКОВАНИЕ
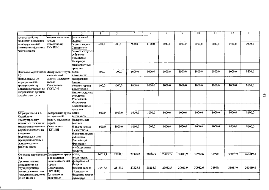
Постановление Правительства Севастополя от 20.12.2022 № 687-ПП
"О внесении изменений в постановление Правительства Севастополя от 20.12.2021 № 675-ПП "Об утверждении государственной программы города Севастополя "Социальная защита, охрана труда и содействие занятости населения в городе Севастополе"
Номер опубликования: 9200202212270012
Дата опубликования: 27.12.2022
Страница №54 из 91:
Увеличить