Официальное опубликование правовых актов
ОФИЦИАЛЬНОЕ ОПУБЛИКОВАНИЕ
Постановление Правительства Севастополя от 28.09.2022 № 467-ПП
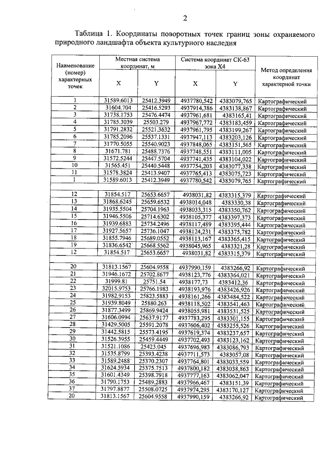
"Об утверждении границ зон охраны, режимов использования земель и требований к градостроительным регламентам в границах территории зон охраны объекта культурного наследия регионального значения "Бельбекская группа береговых батарей (№ 16 (Хрулева) и № 24)", расположенного по адресу: г. Севастополь, пос. Любимовка"
Номер опубликования: 9200202210060020
Дата опубликования: 06.10.2022
Страница №4 из 10:
Увеличить