Официальное опубликование правовых актов
ОФИЦИАЛЬНОЕ ОПУБЛИКОВАНИЕ
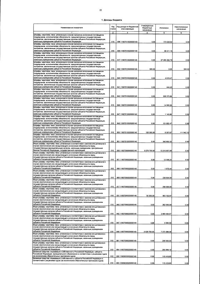
Постановление Правительства Севастополя от 12.08.2022 № 366-ПП
"Об утверждении отчета об исполнении бюджета города Севастополя за первое полугодие 2022 г. и отчета об использовании бюджетных ассигнований резервного фонда Правительства Севастополя за первое полугодие 2022 г."
Номер опубликования: 9200202208190033
Дата опубликования: 19.08.2022
Страница №24 из 679:
Увеличить