Официальное опубликование правовых актов
ОФИЦИАЛЬНОЕ ОПУБЛИКОВАНИЕ
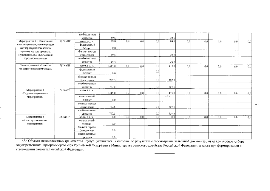
Постановление Правительства Севастополя от 20.05.2022 № 195-ПП
"О внесении изменений в постановление Правительства Севастополя от 28.02.2022 № 65-ПП "Об утверждении государственной программы города Севастополя "Развитие сельскохозяйственного, рыбохозяйственного и агропромышленного комплексов города Севастополя"
Номер опубликования: 9200202205270005
Дата опубликования: 27.05.2022
Страница №120 из 124:
Увеличить