Официальное опубликование правовых актов
ОФИЦИАЛЬНОЕ ОПУБЛИКОВАНИЕ
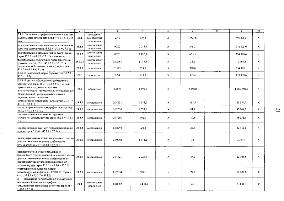
Постановление Правительства Севастополя от 14.04.2022 № 147-ПП
"О внесении изменений в постановление Правительства Севастополя от 29.12.2021 № 728-ПП "Об утверждении Территориальной программы государственных гарантий бесплатного оказания гражданам медицинской помощи в городе Севастополе на 2022 год и на плановый период 2023 и 2024 годов"
Номер опубликования: 9200202204210013
Дата опубликования: 21.04.2022
Страница №22 из 76:
Увеличить