Официальное опубликование правовых актов
ОФИЦИАЛЬНОЕ ОПУБЛИКОВАНИЕ
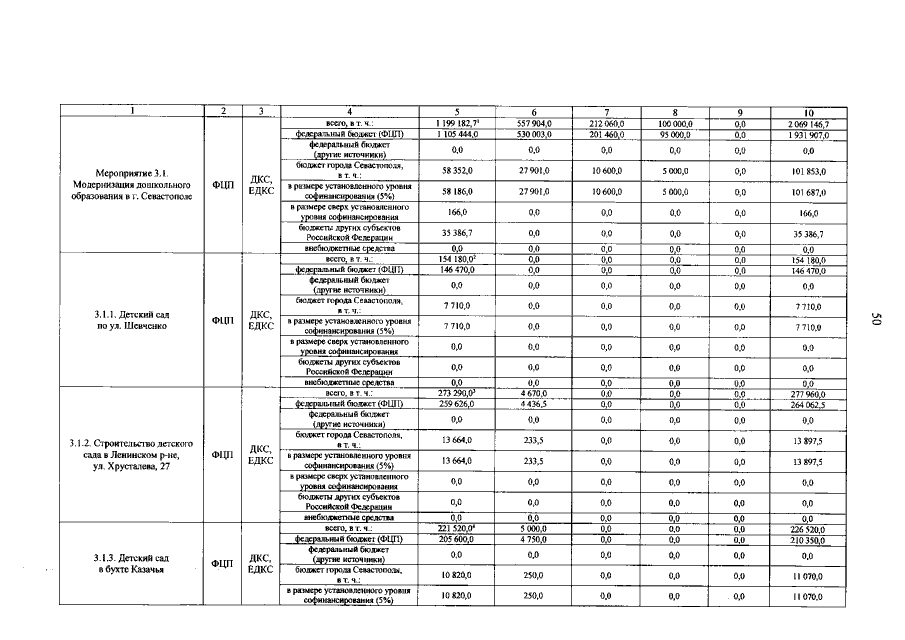
Постановление Правительства Севастополя от 20.12.2021 № 663-ПП
"О внесении изменений в постановление Правительства Севастополя от 10.11.2016 № 1087-ПП "Об утверждении государственной программы города Севастополя "Развитие образования в городе Севастополе"
Номер опубликования: 9200202112240032
Дата опубликования: 24.12.2021
Страница №51 из 67:
Увеличить