Официальное опубликование правовых актов
ОФИЦИАЛЬНОЕ ОПУБЛИКОВАНИЕ
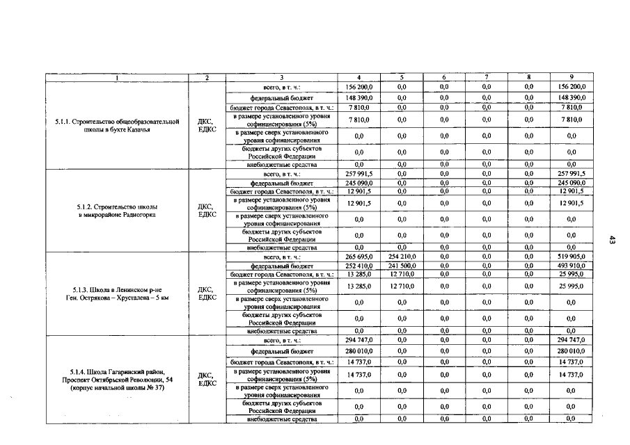
Постановление Правительства Севастополя от 02.06.2021 № 244-ПП
"О внесении изменений в постановление Правительства Севастополя от 10.11.2016 № 1087-ПП "Об утверждении государственной программы города Севастополя "Развитие образования в городе Севастополе"
Номер опубликования: 9200202106090011
Дата опубликования: 09.06.2021
Страница №44 из 62:
Увеличить