Официальное опубликование правовых актов
ОФИЦИАЛЬНОЕ ОПУБЛИКОВАНИЕ
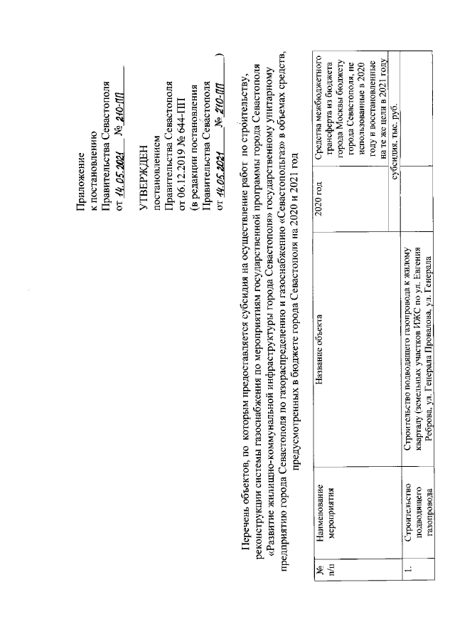
Постановление Правительства Севастополя от 14.05.2021 № 210-ПП
"О внесении изменений в постановление Правительства Севастополя от 06.12.2019 № 644-ПП "О предоставлении субсидии на осуществление работ по строительству и реконструкции системы газоснабжения по мероприятиям государственной программы города Севастополя "Развитие жилищно-коммунальной инфраструктуры города Севастополя" государственному унитарному предприятию города Севастополя по газораспределению и газоснабжению "Севастопольгаз"
Номер опубликования: 9200202105200005
Дата опубликования: 20.05.2021
Страница №3 из 4:
Увеличить