Официальное опубликование правовых актов
ОФИЦИАЛЬНОЕ ОПУБЛИКОВАНИЕ
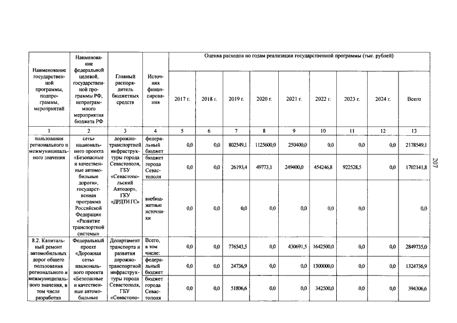
Постановление Правительства Севастополя от 12.12.2020 № 661-ПП
"О внесении изменений в постановление Правительства Севастополя от 17.11.2016 № 1090-ПП "Об утверждении государственной программы города Севастополя "Развитие транспорта и дорожно-транспортной инфраструктуры города Севастополя"
Номер опубликования: 9200202012170025
Дата опубликования: 17.12.2020
Страница №208 из 211:
Увеличить