Официальное опубликование правовых актов
ОФИЦИАЛЬНОЕ ОПУБЛИКОВАНИЕ
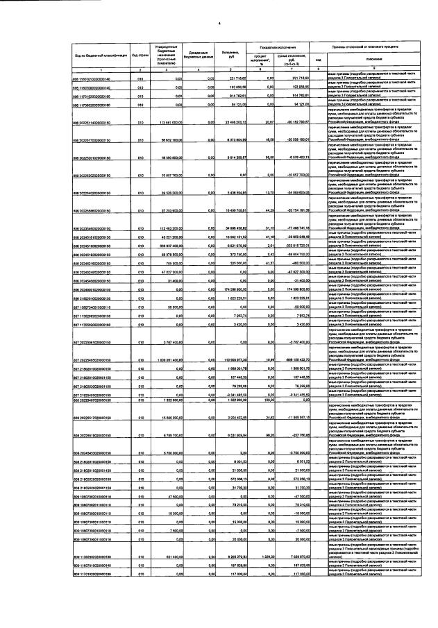
Постановление Правительства Севастополя от 08.10.2020 № 524-ПП
"Об утверждении отчета об исполнении бюджета города Севастополя за I полугодие 2020 г. и отчета об использовании бюджетных ассигнований резервного фонда Правительства Севастополя за I полугодие 2020 г."
Номер опубликования: 9200202010130001
Дата опубликования: 13.10.2020
Страница №505 из 557:
Увеличить