Официальное опубликование правовых актов
ОФИЦИАЛЬНОЕ ОПУБЛИКОВАНИЕ
Постановление Правительства Севастополя от 28.01.2019 № 18-ПП
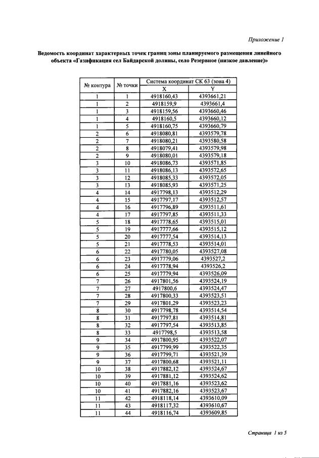
"Об утверждении градостроительной документации по проекту планировки и проекту межевания территории линейного объекта "Газификация сел Байдарской долины, село Резервное (низкое давление)" в Орлиновском муниципальном округе"
Номер опубликования: 9200201902050022
Дата опубликования: 05.02.2019
Страница №45 из 145:
Увеличить