Официальное опубликование правовых актов
ОФИЦИАЛЬНОЕ ОПУБЛИКОВАНИЕ
Постановление Правительства Севастополя от 28.01.2019 № 20-ПП
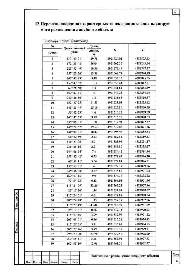
"Об утверждении градостроительной документации по проекту планировки и проекту межевания территории линейного объекта "Газификация села Флотское и поселка 10 км Балаклавского шоссе (низкое давление)" в Балаклавском муниципальном округе"
Номер опубликования: 9200201902050012
Дата опубликования: 05.02.2019
Страница №32 из 82:
Увеличить