Официальное опубликование правовых актов
ОФИЦИАЛЬНОЕ ОПУБЛИКОВАНИЕ
Постановление Правительства Севастополя от 28.01.2019 № 22-ПП
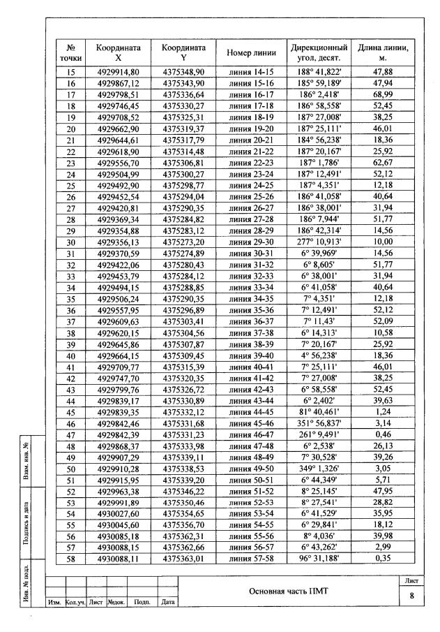
"Об утверждении градостроительной документации по проекту планировки и проекту межевания территории линейного объекта "Реконструкция водопровода по ул. Героев Бреста, 1 (РЧВ) – ул. Героев Бреста, 29 Ду-500 мм, L-900 м"
Номер опубликования: 9200201902050002
Дата опубликования: 05.02.2019
Страница №27 из 32:
Увеличить