Официальное опубликование правовых актов
ОФИЦИАЛЬНОЕ ОПУБЛИКОВАНИЕ
Постановление Правительства Севастополя от 06.12.2018 № 813-ПП
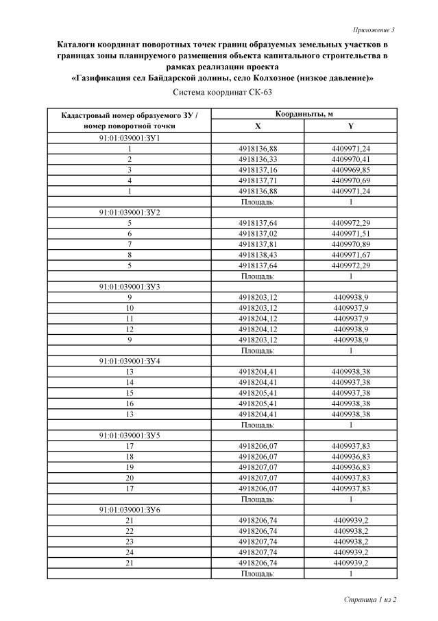
"Об утверждении градостроительной документации по проекту планировки и проекту межевания территории линейного объекта "Газификация сел Байдарской долины, село Колхозное (низкое давление)" в Орлиновском муниципальном округе"
Номер опубликования: 9200201812130030
Дата опубликования: 13.12.2018
Страница №174 из 224:
Увеличить