Официальное опубликование правовых актов
ОФИЦИАЛЬНОЕ ОПУБЛИКОВАНИЕ
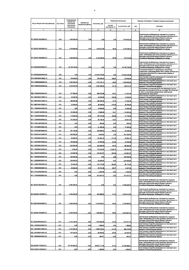
Постановление Правительства Севастополя от 08.11.2018 № 745-ПП "Об утверждении отчета об исполнении бюджета города Севастополя за 9 месяцев 2018 года и отчета об использовании бюджетных ассигнований резервного фонда Правительства Севастополя за 9 месяцев 2018 года"
Номер опубликования: 9200201811150005
Дата опубликования: 15.11.2018
Страница №436 из 486:
Увеличить