Официальное опубликование правовых актов
ОФИЦИАЛЬНОЕ ОПУБЛИКОВАНИЕ
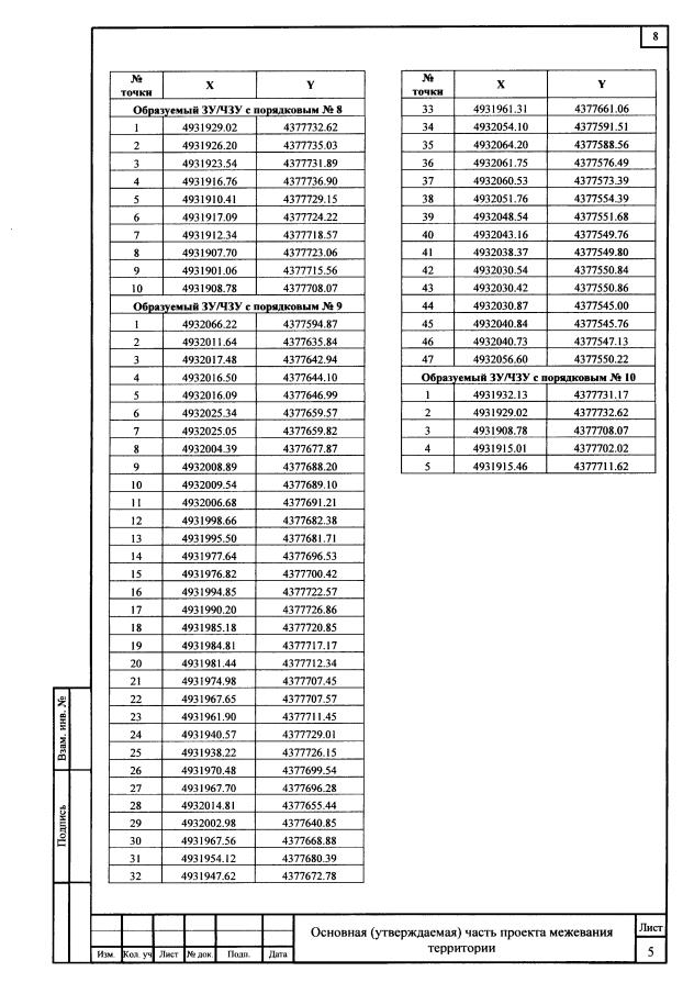
Постановление Правительства Севастополя от 01.11.2018 № 725-ПП "Об утверждении градостроительной документации по проекту планировки и проекту межевания территории линейного объекта "Сети канализования по проспекту Гагарина, г. Севастополь" в Гагаринском внутригородском муниципальном образовании города Севастополя"
Номер опубликования: 9200201811070011
Дата опубликования: 07.11.2018
Страница №35 из 38:
Увеличить