Официальное опубликование правовых актов
ОФИЦИАЛЬНОЕ ОПУБЛИКОВАНИЕ
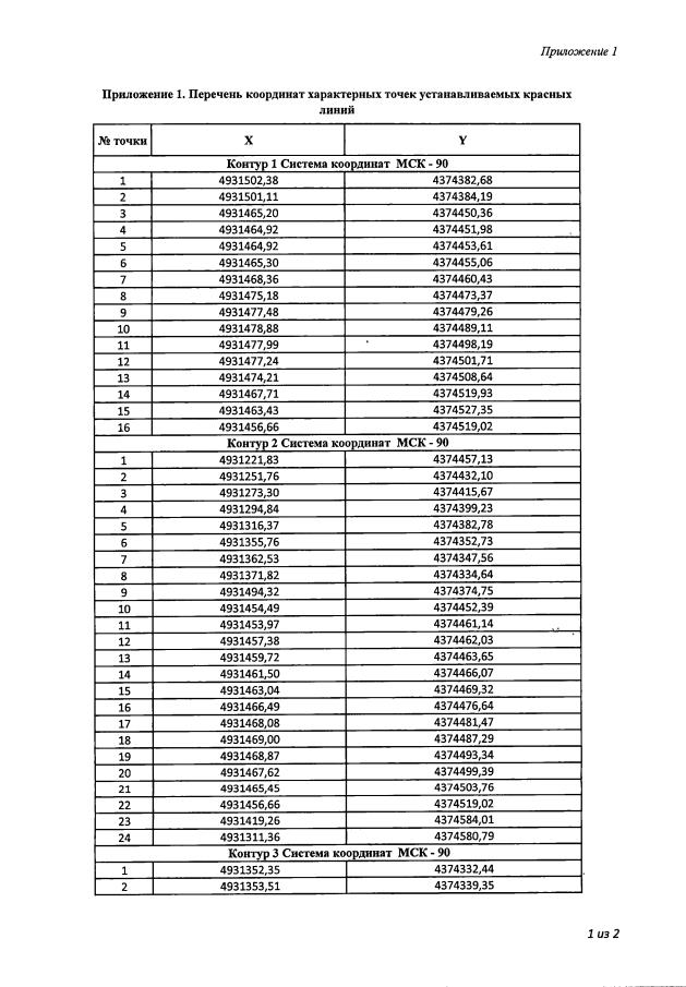
Постановление Правительства Севастополя от 25.10.2018 № 715-ПП "Об утверждении градостроительной документации по планировке территории "Проект планировки и проект межевания территории в районе бухты Омега, расположенной в городе Севастополе"
Номер опубликования: 9200201810300025
Дата опубликования: 30.10.2018
Страница №13 из 115:
Увеличить