Официальное опубликование правовых актов
ОФИЦИАЛЬНОЕ ОПУБЛИКОВАНИЕ
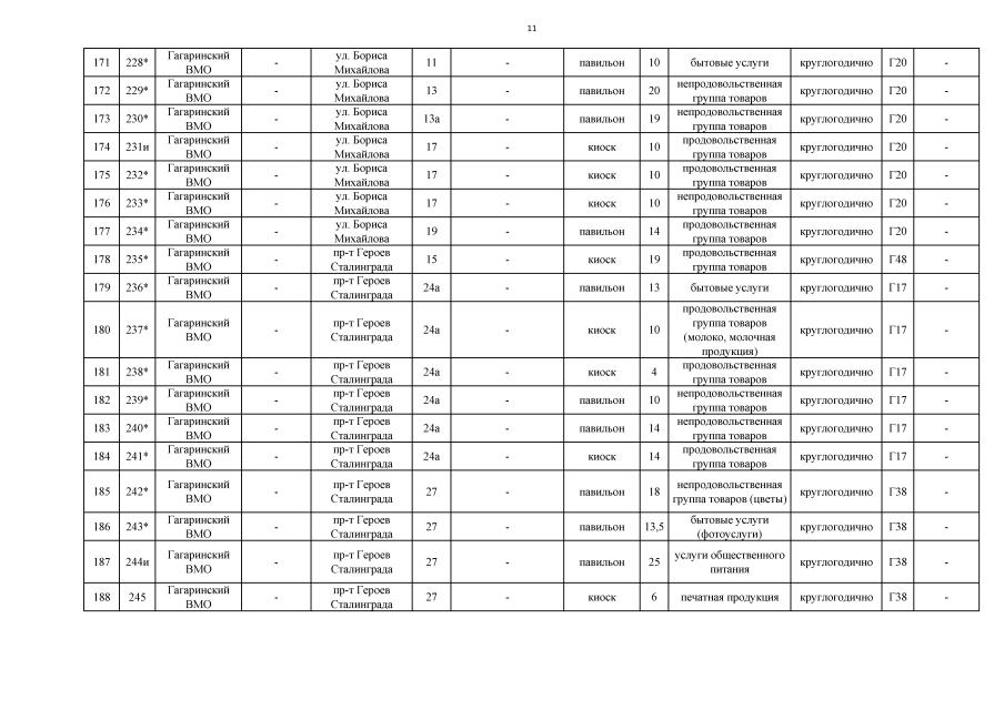
Постановление Правительства Севастополя от 04.10.2018 № 663-ПП "О внесении изменений в постановление Правительства Севастополя от 09.11.2015 № 1030-ПП "О размещении нестационарных торговых объектов на территории города Севастополя и внесении изменений в постановления Правительства Севастополя от 31.03.2015 № 246-ПП и от 29.05.2015 № 459-ПП"
Номер опубликования: 9200201810090013
Дата опубликования: 09.10.2018
Страница №16 из 382: