Официальное опубликование правовых актов
ОФИЦИАЛЬНОЕ ОПУБЛИКОВАНИЕ
Приказ Министерства культуры Республики Крым от 05.02.2026 № 142-ОКН
"О внесении изменений в приказ Министерства культуры Республики Крым от 20.12.2024 № 800-ОКН "Об утверждении границ зон охраны, режимов использования земель и требований к градостроительным регламентам в границах зон охраны объекта культурного наследия регионального значения "Дача Н.И. Ефимова", начало XX века, расположенного по адресу: Республика Крым, г. Евпатория, ул. Маяковского, 3, литер "А", спальный корпус № 3"
(Зарегистрирован 09.02.2026 № 3269)
Номер опубликования: 9101202602120007
Дата опубликования: 12.02.2026
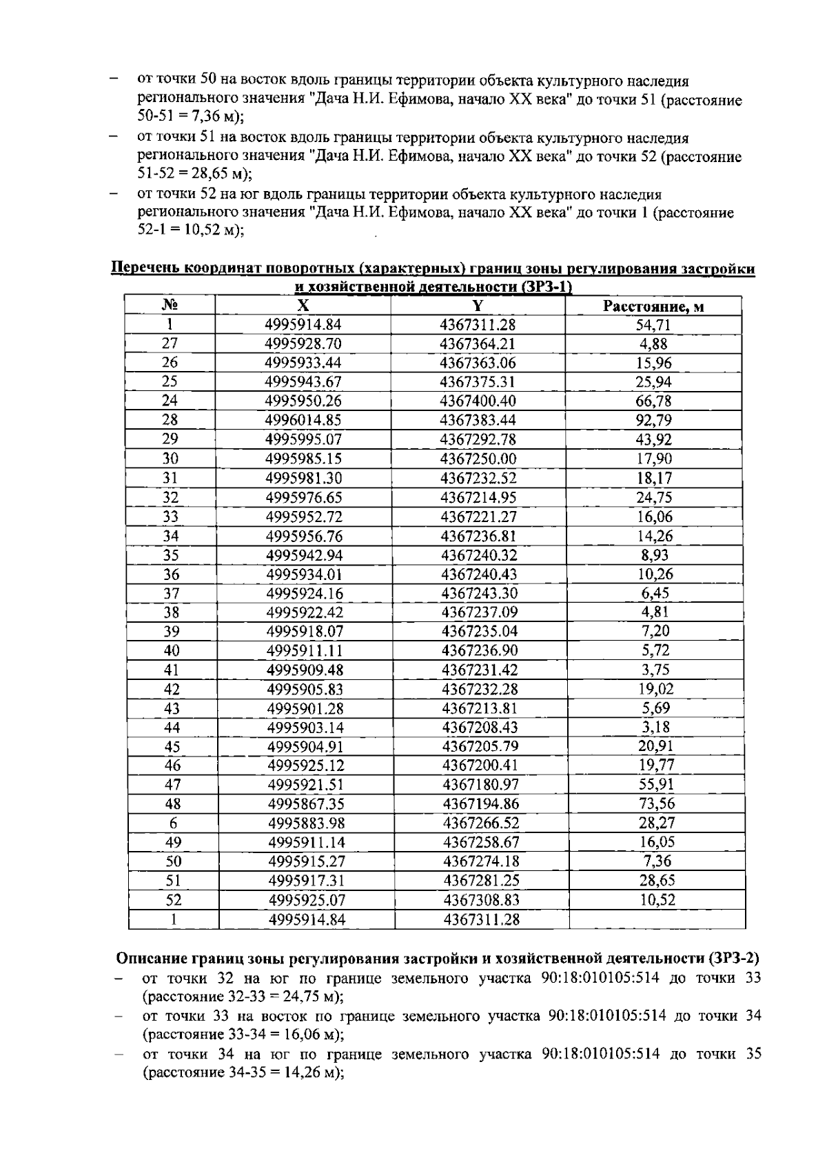
Страница №6 из 16:
Увеличить