Официальное опубликование правовых актов
ОФИЦИАЛЬНОЕ ОПУБЛИКОВАНИЕ
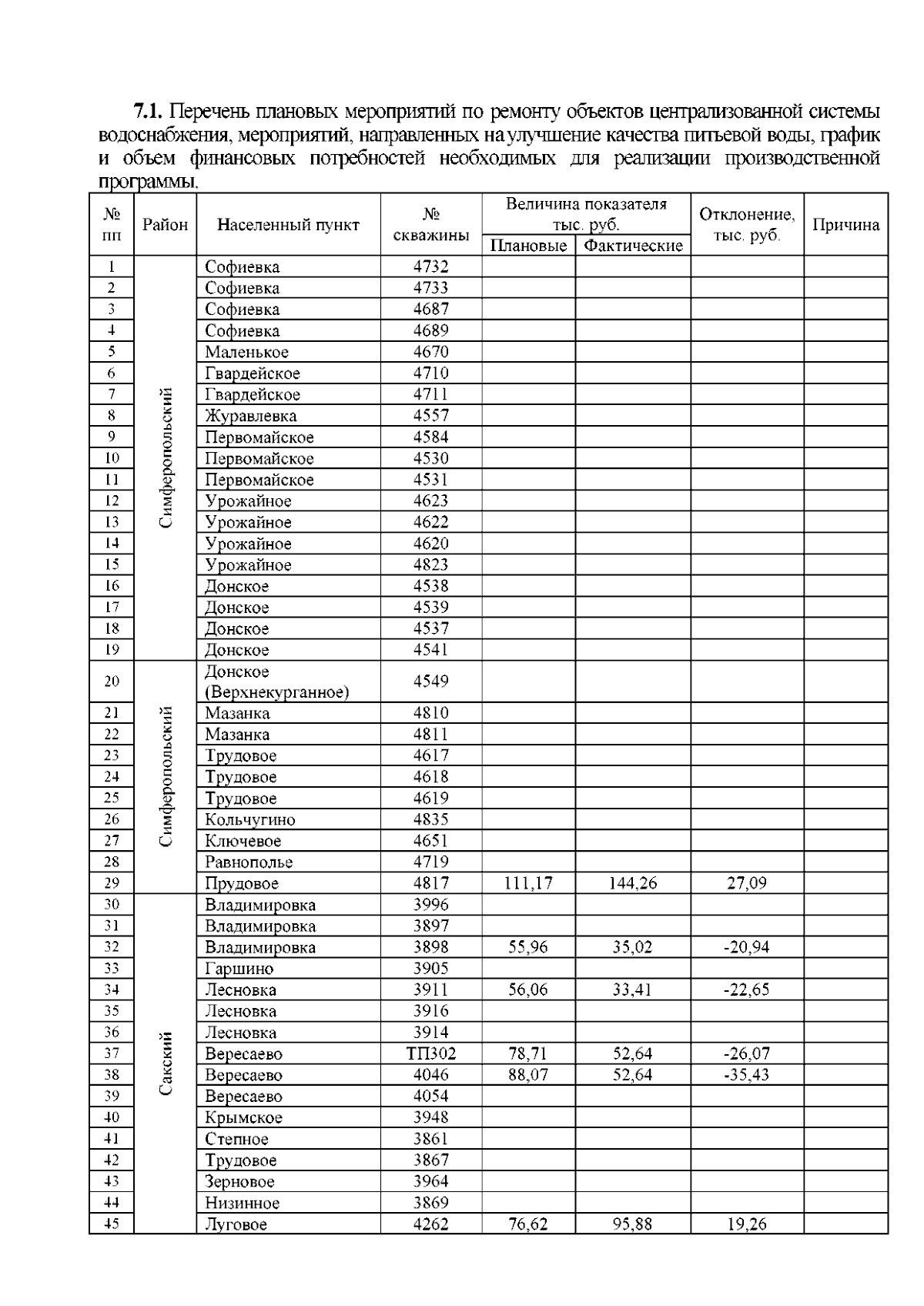
Приказ Государственного комитета по ценам и тарифам Республики Крым от 19.12.2025 № 44/1
"О внесении изменений в приказ Государственного комитета по ценам и тарифам Республики Крым от 19 декабря 2023 года № 43/4 "Об установлении тарифов на водоснабжение и водоотведение обществу с ограниченной ответственностью "Крымская Водная Компания" на 2024-2028 годы"
(Зарегистрирован 22.12.2025 № 3147)
Номер опубликования: 9101202512250001
Дата опубликования: 25.12.2025
Страница №55 из 78:
Увеличить