Официальное опубликование правовых актов
ОФИЦИАЛЬНОЕ ОПУБЛИКОВАНИЕ
Приказ Министерства культуры Республики Крым от 12.12.2025 № 802-ОКН
"Об утверждении границ зон охраны, режимов использования земель и требований к градостроительным регламентам в границах зон охраны объекта культурного наследия регионального значения "Охотничий дом князя Ф.Ф. Юсупова (архитектор Н.П. Краснов)", начало XX века: "Гостевой корпус", начало XX века, расположенного по адресу: Республика Крым, Бахчисарайский район, сельское поселение Голубинское, с. Соколиное, ул. Ленина, 40, литер "Б"; "Главный корпус", начало XX века, расположенного по адресу: Республика Крым, Бахчисарайский район, сельское поселение Голубинское, с. Соколиное, ул. Ленина, 40, литер "В"; "Фонтан", начало XX века, расположенного по адресу: Республика Крым, Бахчисарайский район, сельское поселение Голубинское, с. Соколиное, ул. Ленина, 40, у ворот (ансамбль)"
(Зарегистрирован 15.12.2025 № 3079)
Номер опубликования: 9101202512160019
Дата опубликования: 16.12.2025
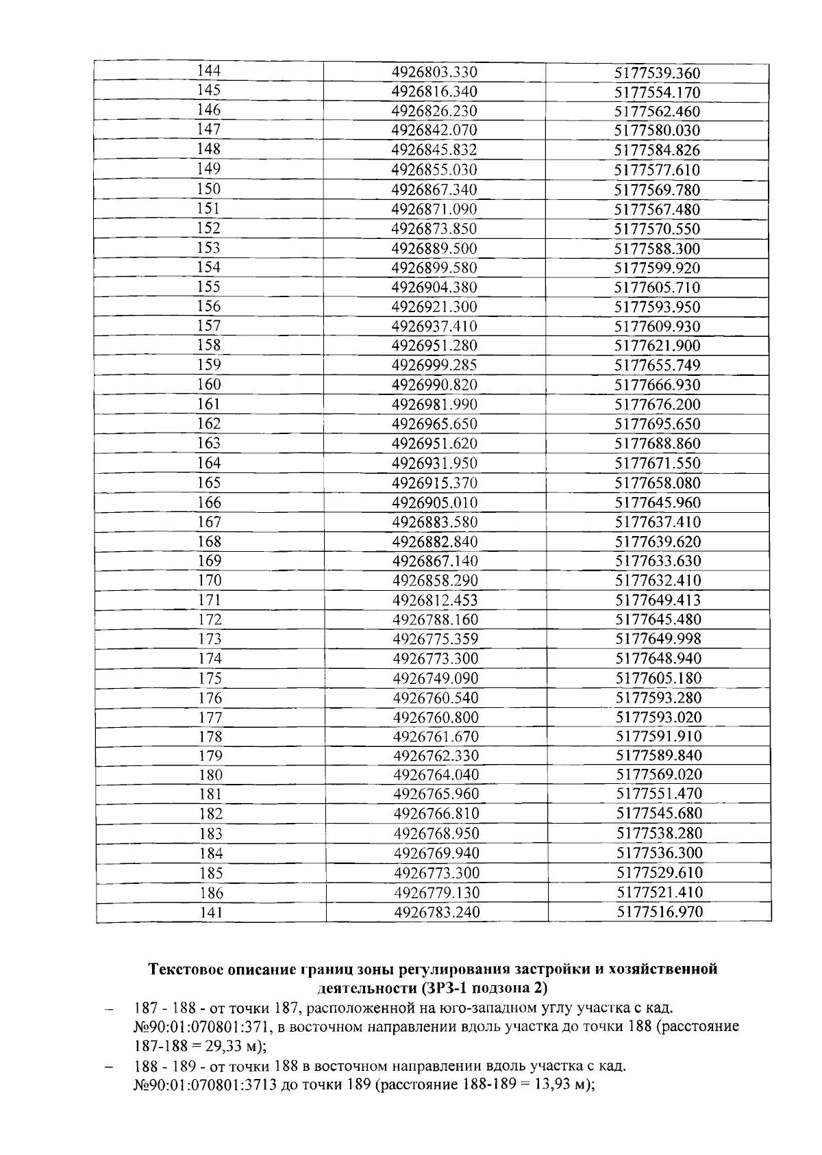
Страница №14 из 18:
Увеличить