Официальное опубликование правовых актов
ОФИЦИАЛЬНОЕ ОПУБЛИКОВАНИЕ
Приказ Министерства культуры Республики Крым от 24.11.2025 № 753-ОКН
"Об утверждении границ зон охраны, режимов использования земель и требований к градостроительным регламентам в границах зон охраны объекта культурного наследия федерального значения "Комплекс сооружений дворца Александра III, 1880 – 1902 годы" (ансамбль), расположенного по адресу: Республика Крым, городской округ Ялта, пгт Массандра, ул. Симферопольское шоссе, д. 13"
(Зарегистрирован 27.11.2025 № 3015)
Номер опубликования: 9101202512020006
Дата опубликования: 02.12.2025
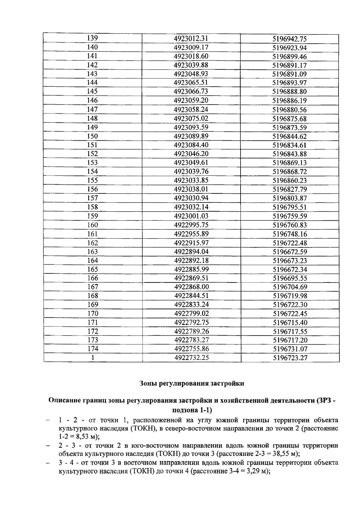
Страница №14 из 93:
Увеличить