Официальное опубликование правовых актов
ОФИЦИАЛЬНОЕ ОПУБЛИКОВАНИЕ
Приказ Министерства культуры Республики Крым от 24.11.2025 № 748-ОКН
"Об утверждении границ территории, режимов использования земель в границах территории выявленного объекта культурного наследия "Служебный жилой корпус", 1870-е годы, расположенного по адресу: Республика Крым, городской округ Ялта, пгт Гаспра, Алупкинское шоссе, 11"
(Зарегистрирован 27.11.2025 № 3010)
Номер опубликования: 9101202512020001
Дата опубликования: 02.12.2025
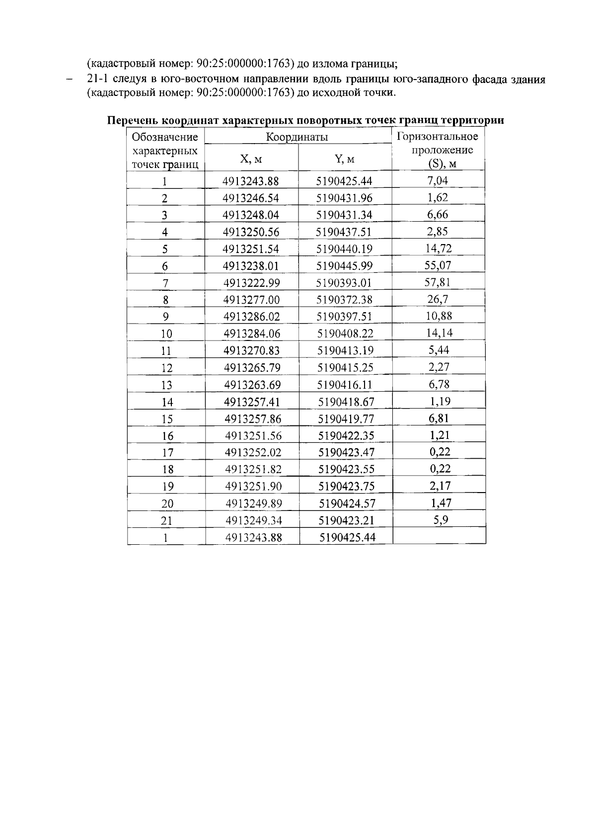
Страница №4 из 7:
Увеличить