Официальное опубликование правовых актов
ОФИЦИАЛЬНОЕ ОПУБЛИКОВАНИЕ
Приказ Министерства культуры Республики Крым от 17.10.2025 № 635-ОКН
"О внесении изменений в приказ Министерства культуры Республики Крым от 23.07.2025 № 449-ОКН"
(Зарегистрирован 22.10.2025 № 2843)
Номер опубликования: 9101202510230013
Дата опубликования: 23.10.2025
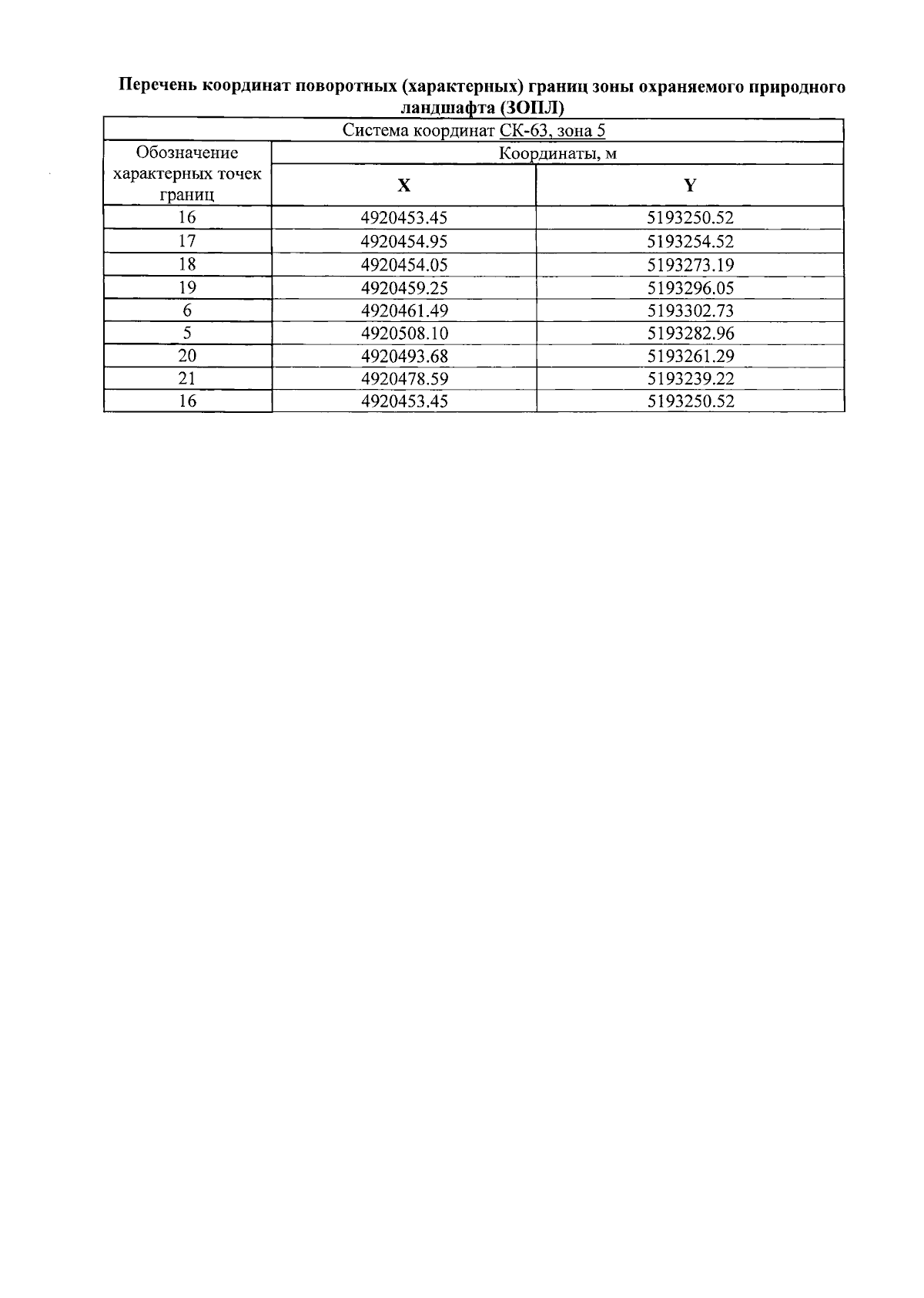
Страница №7 из 8:
Увеличить