Приказ Министерства культуры Республики Крым от 17.10.2025 № 638-ОКН
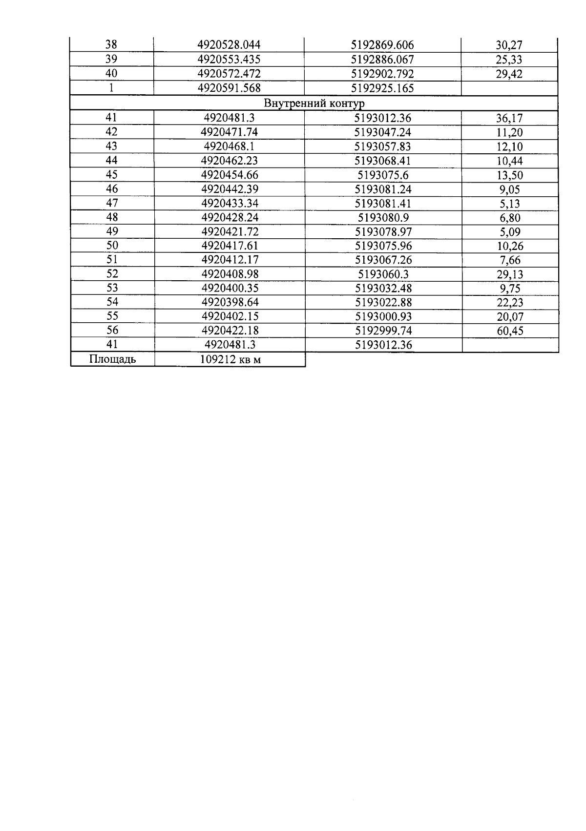
"Об установление границ защитной зоны объекта культурного наследия, режимов использования земель и требований к градостроительным регламентам в границах защитной зоны объекта культурного наследия регионального значения "Дом княгини Н.А. Барятинской (архитектор Н.П. Краснов)", конец XIX века - начало XX века, расположенного по адресу: Республика Крым, г. Ялта, ул. Кирова, 39, литер "А"
(Зарегистрирован 22.10.2025 № 2846)
"Об установление границ защитной зоны объекта культурного наследия, режимов использования земель и требований к градостроительным регламентам в границах защитной зоны объекта культурного наследия регионального значения "Дом княгини Н.А. Барятинской (архитектор Н.П. Краснов)", конец XIX века - начало XX века, расположенного по адресу: Республика Крым, г. Ялта, ул. Кирова, 39, литер "А"
(Зарегистрирован 22.10.2025 № 2846)
Номер опубликования: 9101202510230008
Дата опубликования:
23.10.2025
